한솔아카데미 로고

  • 시험정보
  • 수강신청
  • 교수소개
  • 교재안내
  • 학습게시판
  • 나의강의실
고용보험환급
학습게시판

학습Q&A

HOME>학습게시판>학습Q&A

글보기
제목
25년 1회 4번 기출문제 풍속단위가 어떻게 m/s 나오나요?
질문유형 온라인강의 > 공조냉동기계기사 실기 종합반 > 강희중
글쓴이 이*호 등록일 2025.11.01 답변상태 답변완료
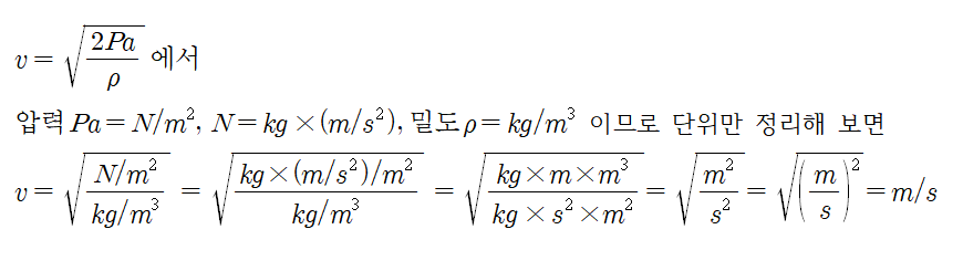
  • 안녕하세요 교수님

    25년1회 4번문제에서 베르누이의 법칙으로 풍속을 계산할때

    어떻게 단위가 m/s로 나오는지 알고 싶습니다.

    동압Pv=(ρ*V2)/2

    풍속V=루트(2*pa)/(kg/m3) = m/s 나오나요?

  • 강희중 |(2025.11.01 22:23)

    네, 안녕하세요~

     

    먼저 압럭 단위 파스칼을 정의하면

    Pa=N/m2 =(kg ×m/s2)/m2 이 됩니다.

    따라서

    루트((2×Pa)/(kg/m3))은 단위 만 환산하면

    루트[{kg×m/s2)/m2} / (kg/m3)]으로 kg과 m1승이 소거되어

     루트안에 m2/s2 만 남게 되어 루트가 없어지면서 속도단위 m/s가 됩니다.

     아래 정리식 참조

     

     

첨부파일

목록